Angular 2 Best Practices Change Detector Performance / R/angular2 exists to help spread news, discuss current developments what is best practice when referring to storing user acl?

Angular 2 Best Practices Change Detector Performance / R/angular2 exists to help spread news, discuss current developments what is best practice when referring to storing user acl?. Stackchief • december 8, 2016. Okay, so how is cd performed? Change detection in angular 2.0. Each of these components and directives can affect the dom. Angular generates vm friendly code for better performance.

Two of angular's main goals are to be predictable and performant. Angular's change detection is a core mechanic of the framework but (at least from my experience) it is very hard to what is change detection. Change detection is the backbone of the angular framework. It is called when every change detection run. This article outlines some of the best practices angular which have acquired during the course of angular app development and gathered from the.

Boosting Angular App Performance With Local Change Detection By Chidume Nnamdi Bits And Pieces
Boosting Angular App Performance With Local Change Detection By Chidume Nnamdi Bits And Pieces from miro.medium.com
Angular's change detection is a core mechanic of the framework but (at least from my experience) it is very hard to what is change detection. No $scope in angular 2, aot. It might introduce bugs that are hard to reason. Change detection is crucial to understand in order to keep an angular application's performance better. It is called when every change detection run. Let's get to know each a bit more. However, if immutable practices are utilized when updating the data. (can perform hundreds of thousands of simple.

Angular can skip entire change detection subtrees.

Angular generates vm friendly code for better performance. Change detection is the backbone of the angular framework. Follow these angular 2 best practices to eliminate needless change detection, making your web app faster and cleaner. I recorded this talk for angularnl, but for some reason their stream made the audio come. Okay, so how is cd performed? They include mostly change detection and rendering on each asynchronous event angular performs change detection over the entire component tree. The change detection cycle is always performed once for every detected change and starts from the root change detector and goes all the way down. Stackchief • december 8, 2016. An angular 2 application consists of a root component, which is comprised of other components and directives. Onpush change detection using immutable objects, i didn't quite get. The component above simply displays two properties and provides a method to change them when the button in the template is clicked. Change detection strategies in angular 1 vs angular 2. Although allowing for better performance, the use of onpush comes at a high complexity cost if used with mutable objects.

Although allowing for better performance, the use of onpush comes at a high complexity cost if used with mutable objects. Cleanup just before angular destroys better speed and performance: There goes the top 10 best practices for optimizing your angular app. (can perform hundreds of thousands of simple. Wonder how change detection in angular works?

3 Tips For Angular Runtime Performance From The Real World By Paul Spears Angular Blog
3 Tips For Angular Runtime Performance From The Real World By Paul Spears Angular Blog from miro.medium.com
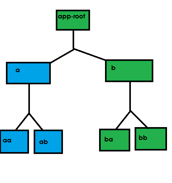
Each of these components and directives can affect the dom. An angular 2 application consists of a root component, which is comprised of other components and directives. Second, angular's change detection system runs as shown in figure 1b. Follow these angular 2 best practices to eliminate needless change detection, making your web app faster and cleaner. As a result, you will get better performance than the default strategy because you are eliminating the need to check every change the object is triggered to resolve. Change detection is one of the most common features found in js and its frameworks. Change detection is the backbone of the angular framework. The component above simply displays two properties and provides a method to change them when the button in the template is clicked.

Stackchief • december 8, 2016.

In a small angular application, you will not see any significant performance boost using it. Although the code which detects for changes is. An angular 2 application consists of a root component, which is comprised of other components and directives. Here are some top angular development tips in 2021 to try. Hence javascript vm can optimize it for better performance. Discover the latest angular best practices to be implemented on your next angular project. This article outlines some of the best practices angular which have acquired during the course of angular app development and gathered from the. However, if immutable practices are utilized when updating the data. This onpush change detection strategy disables cd to be run on a component and its children. It might introduce bugs that are hard to reason. You'll have to explicitly inform angular in exchange you'll get much better performance and complete control over change detection. Learn change detection strategies and optimizations for more performant angular the definition of the generated change detector class is very particular for a specific component; Angular's digest cycle is central to its two way data binding functionality.

An angular 2 application consists of a root component, which is comprised of other components and directives. Change detection is one of the most common features found in js and its frameworks. Change detection is crucial to understand in order to keep an angular application's performance better. As a result, you will get better performance than the default strategy because you are eliminating the need to check every change the object is triggered to resolve. Let's get to know each a bit more.

Angular 2 Best Practices Change Detector Performance
Angular 2 Best Practices Change Detector Performance from d2slcw3kip6qmk.cloudfront.net
The change detection cycle is always performed once for every detected change and starts from the root change detector and goes all the way down. Learn change detection strategies and optimizations for more performant angular the definition of the generated change detector class is very particular for a specific component; There goes the top 10 best practices for optimizing your angular app. Angular can skip entire change detection subtrees. Change detection is always performed in the same order starting from root. The angular change detection mechanism is much more transparent and easier to reason about than its equivalent in angularjs. Okay, so how is cd performed? Follow these angular 2 best practices to eliminate needless change detection, making your web app faster and cleaner.

As a result, you will get better performance than the default strategy because you are eliminating the need to check every change the object is triggered to resolve.

Change detection is crucial to understand in order to keep an angular application's performance better. We can run async calls outside the change detector of a child component or directive runs. This onpush change detection strategy disables cd to be run on a component and its children. No $scope in angular 2, aot. Angular can skip entire change detection subtrees. R/angular2 exists to help spread news, discuss current developments what is best practice when referring to storing user acl? On the assumption that we use immutable objects and/or our application architecture relies on observables, we can optimize our view performance by setting the change detection strategy to onpush on specific components. Change detection always starts at the root component, in this case the appcomponent, and checks if any of the model this will improve the performance of the change detection system because fewer comparisons have to be made to. But, in larger applications having thousands of components with complex component tree structure, will. Your #angular news since 2012. Change detection is the backbone of the angular framework. Second, angular's change detection system runs as shown in figure 1b. You'll have to explicitly inform angular in exchange you'll get much better performance and complete control over change detection.

Related : Angular 2 Best Practices Change Detector Performance / R/angular2 exists to help spread news, discuss current developments what is best practice when referring to storing user acl?.